GESP四级(202309)   

选择题

1、⼈们所使⽤的⼿机上安装的 App 通常指的是()。

                                

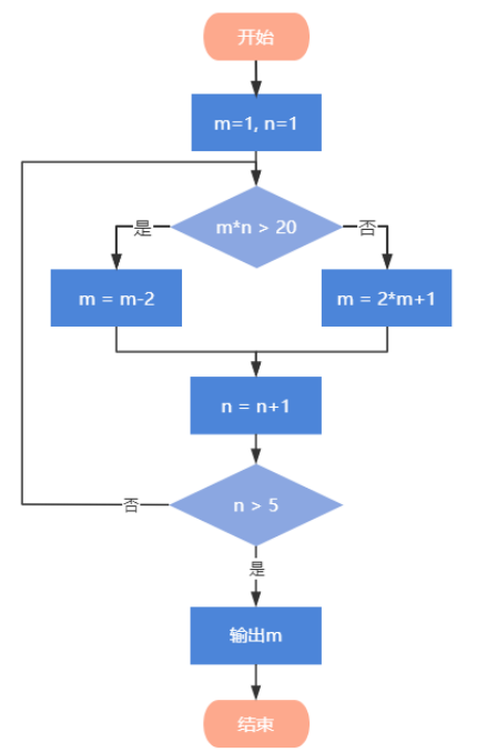
2、 下列流程图的输出结果是? ()

                                

3、对包含 n 元素个元素的数组进⾏冒泡排序,平均时间复杂度⼀般为()

                                

4、下列关于 C++ 语⾔中指针的叙述,不正确的是()。

                                

5、下列关于 C++ 语⾔中数组的叙述,不正确的是()。

                                

6、下列关于 C++ 语⾔中函数的叙述,正确的是()

                                

7、下列关于 C++ 语⾔中函数的叙述,不正确的是()

                                

8、⼀个⼆维数组定义为 char array[3][10];,则这个⼆维数组占⽤内存的⼤⼩为()。

                                

9、如果 n 为 int 类型的变量,一个指针变量定义为 int *p = &n;,则下列说法正确的是()

                                

10、一个三维数组定义为 long long array[6][6][6];,则 array[1][2][3] 和 array[3][2][1] 在内存中的位置相差多少字节?()

                                

11、如果 a 为 int 类型的变量,且 a 的值为 6, 则执行 a=-a;之后,a的值会是(   )

                                

12、一个数组定义为 int a[5]={1, 2, 3, 4, 5};一个指针定义为 int *p=&a[2];,则执行 *p=a[1]后,数组中的值会变为(    )

                                

13、下列关于 C++ 语⾔中异常处理的叙述,正确的是()。

                                

14、执⾏以下 C++ 语⾔程序后,输出结果是()。

                                

15、 在下列代码的横线处填写(),完成对有 n 个 int 类型元素的数组 array 由⼩到⼤排序。

                                

判断题

1、在 C++ 语⾔中,指针变量在逻辑上指向另⼀个变量在内存中的位置,指针变量本⾝不占⽤内存。

                

2、对 n 个元素的数组执⾏插⼊排序算法,通常的时间复杂度是 O(N2)

                

3、在 C++ 语⾔中,每个变量都有其作⽤域.

                

4、在 C++ 语⾔中,在函数调⽤时,通过引⽤传递的参数不会复制实际参数,因此不会额外占⽤内存。

                

5、在 C++ 语⾔中,可以通过定义结构体,定义⼀个新的数据类型。

                

6、在 C++ 语⾔中,可以定义结构体类型的数组变量,定义结构体时也可以包含数组成员。

                

7、如果希望记录 10 个最长为 99 字节的字符串,可以将字符串数组定义为 char s[10][100];.

                

8、⼀个可能抛出异常的函数,调⽤它的位置没有在 try ⼦句中,会引起编译错误。

                

9、== 和 := 都是C++语⾔的运算符。

                

10、通过使⽤⽂件重定向操作,可以将程序中输出到 cout 的内容输出到⽂件中,这是常⽤的记录程序运⾏⽇志的⽅法之⼀。

                

编程题