问题10289--计算并联电阻的阻值

10289: 计算并联电阻的阻值

[命题人 : ]
时间限制 : 1.000 sec  内存限制 : 128 MiB

题目描述

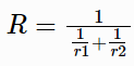
对于阻值为 r1 和 r2 的电阻,其并联电阻阻值公式计算如下:

输入两个电阻阻抗大小,浮点型。输出并联之后的阻抗大小,结果保留小数点后2位。

输入

两个电阻阻抗大小,浮点型,以一个空格分开。

输出

并联之后的阻抗大小,结果保留小数点后2位。

样例输入 复制

1 2

样例输出 复制

0.67

来源/分类