4974: 【NOIP 2018】对称二叉树
[命题人 : ]
题目描述
一棵有点权的有根树如果满足以下条件,则被轩轩称为对称二叉树:
1. 二叉树;
2. 将这棵树所有节点的左右子树交换,新树和原树对应位置的结构相同且点权相等。
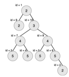
下图中节点内的数字为权值,节点外的 id 表示节点编号。
现在给出一棵二叉树,希望你找出它的一棵子树,该子树为对称二叉树,且节点数 最多。请输出这棵子树的节点数。
注意:只有树根的树也是对称二叉树。本题中约定,以节点 T为子树根的一棵“子树”指的是:节点T和它的全部后代节点构成的二叉树。
本题约定: 层次:节点的层次从根开始定义起,根为第一层,根的孩子为第二层。树中任一节
点的层次等于其父亲节点的层次加 1。 树的深度:树中节点的最大层次称为树的深度。
满二叉树:设二叉树的深度为 h,且二叉树有 2h − 1 个节点,这就是满二叉树。
完全二叉树:设二叉树的深度为 h,除第 h 层外,其它各层的结点数都达到最大个数,第 h 层所有的结点都连续集中在最左边,这就是完全二叉树。
输入
第一行一个正整数n,表示给定的树的节点的数目,规定节点编号 1~n,其中节点1 是树根。
第二行n个正整数,用一个空格分隔,第i个正整数vi 代表节点i的权值。
接下来n行,每行两个正整数li, ri,分别表示节点i的左右孩子的编号。如果不存在左 / 右孩子,则以 −1 表示。两个数之间用一个空格隔开。
输出
输出文件共一行,包含一个整数,表示给定的树的最大对称二叉子树的节点数。
样例输入 复制
2
1 3
2 -1
-1 -1
样例输出 复制
1
提示
最大的对称二叉子树为以节点 2 为树根的子树,节点数为 1。
输入样例2:
10
2 2 5 5 5 5 4 4 2 3
9 10
-1 -1
-1 -1
-1 -1
-1 -1
-1 2
3 4
5 6
-1 -1
7 8
输出样例2:
3
说明2:

最大的对称二叉子树为以节点 7 为树根的子树,节点数为 3。