Toggle navigation
卓杜威编程
首页
题库
状态
初赛题库
等考测评
一级测评
二级测评
三级测评
四级测评
五级测评
六级测评
七级测评
八级测评
专题
真题
普及组第一轮真题
提高组第一轮真题
普及组真题
提高组真题
NOIP
USACO青铜
USACO白银
USACO黄金
USACO铂金
课程中心
排名
竞赛平台
登录
任务(
0
)
问题5630--sqrt log sin 函数
5630: sqrt log sin 函数
[命题人 :
]
时间限制 :
1.000
sec
内存限制 :
32 MiB
去完成
解决: 4
提交量: 6
统计
露一手!
题目描述
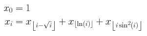
小明的老师给小明布置了这样一道作业题,一个序列符合以下定义:
现问你这个序列的第n项是多少?
输入
输入包含多组测试数据。每组输入一个整数n(0<=n<=1000000),当输入-1时,输入结束。
输出
对于每组输入,输出第n项的值,结果请mod 1000000。
样例输入
复制
0 -1
样例输出
复制
1
来源/分类
入门题-数学