Toggle navigation
卓杜威编程
首页
题库
状态
初赛题库
等考测评
一级测评
二级测评
三级测评
四级测评
五级测评
六级测评
七级测评
八级测评
专题
真题
普及组第一轮真题
提高组第一轮真题
普及组真题
提高组真题
NOIP
USACO青铜
USACO白银
USACO黄金
USACO铂金
课程中心
排名
竞赛平台
登录
任务(
0
)
问题5910--例题4-5 符号函数
5910: 例题4-5 符号函数
[命题人 :
]
时间限制 :
1.000
sec
内存限制 :
12 MiB
去完成
解决: 14
提交量: 26
统计
露一手!
题目描述
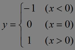
给定如下函数:
输入x的值,要求输出相应的y值。
末尾输出换行符。
程序中涉及的变量请均定义为整型(int)
输入
键盘输入一整数。
输出
输出-1, 0, 1三者之一
样例输入
复制
5
样例输出
复制
1
来源/分类
C语言第四版教学实验-第四章
选择结构程序设计