问题5960--Fibonacci数列

5960: Fibonacci数列

[命题人 : ]
时间限制 : 1.000 sec  内存限制 : 128 MiB

题目描述

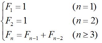
输入一个正整数n,求Fibonacci数列的第n个数。Fibonacci数列的特点:第1,2个数为1,1。从第3个数开始,概述是前面两个数之和。即:
要求输入的正整数n不超过50.

输入

一个不超过50的正整数

输出

Fibonacci数列的第n个数,末尾输出换行。

样例输入 复制

20

样例输出 复制

6765