问题5973--习题5-13 迭代法求平方根

5973: 习题5-13 迭代法求平方根

[命题人 : ]
时间限制 : 1.000 sec  内存限制 : 12 MiB

题目描述

输入一个非负实数a,用迭代法求平方根

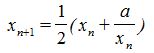
求平方根的迭代公式为

要求前后两次求出的x的差的绝对值小于10-5

从键盘输入非负实数a和迭代初值x0,输出满足条件的xn+1

C数学库中有求绝对值的函数fabs.

输入

非负实数a和迭代初值x0(要求double类型)

输出

输入非负实数的平方根,保留6位小数,末尾换行。

样例输入 复制

10 3

样例输出 复制

3.162278