问题6213--最优贸易

6213: 最优贸易

[命题人 : ]
时间限制 : 1.000 sec  内存限制 : 128 MiB

题目描述

C国有n个大城市和m条道路,每条道路连接这n个城市中的某两个城市。任意两个城市之间最多只有一条道路直接相连。这m条道路中有一部分为单向通行的道路,一部分为双向通行的道路,双向通行的道路在统计条数时也计为1条。

C国幅员辽阔,各地的资源分布情况各不相同,这就导致了同一种商品在不同城市的价格不一定相同。但是,同一种商品在同一个城市的买入价和卖出价始终是相同的。

商人阿龙来到C国旅游。当他得知同一种商品在不同城市的价格可能会不同这一信息之后,便决定在旅游的同时,利用商品在不同城市中的差价赚回一点旅费。设C国n个城市的标号从1-n,阿龙决定从1号城市出发,并最终在n号城市结束自己的旅行。在旅游的过程中,任何城市可以重复经过多次,但不要求经过所有n个城市。阿龙通过这样的贸易方式赚取旅费:他会选择一个经过的城市迈入他最喜欢的商品——水晶球,并在之后经过的另一个城市卖出这个水晶球。用赚取的差价当作旅费。由于阿龙主要是来C国旅游,他决定这个贸易只进行最多一次。当然,在赚不到差价的情况下它就无需进行贸易。

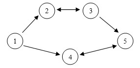
假设C国有5个大城市,城市的编号和道路连接情况如下图,单向箭头表示这条道路为单向通行。双向箭头表示这条道路为双向通行。

假设1~n号城市的水晶球价格分别为4,3,5,6,1。

阿龙可以选择如下一条线路:1->2->3->5,并在2号城市以3的价格买入水晶球,在3号城市以5的价格卖出水晶球,赚取的旅费数为2。

阿龙也可以选择如下一条线路:1->4->5->4->5,并在第1次到达5号城市时以1的价格买入水晶球,在第2次到达4号城市时以6的价格卖出水晶球,赚取的旅费数为5。

现在给出n个城市的水晶球价格,m条道路的信息(每条道路所连接的两个城市的编号以及该条道路的通行情况)。请你告诉阿龙,他最多能赚钱多少旅费。


输入

每组输入数据的第一行包含2个正整数n和m,中间用一个空格隔开,分别表示城市的数目和道路的数目。

第二行n个正整数,每两个正整数之间用一个空格隔开,按标号顺序分别表示这n个城市的商品价格。

接下来m行,每行有3个正整数,x,y,z,每两个整数之间用一个空格隔开。如果z=1,表示这条道路是城市x到城市y之间的单向道路;如果z=2,表示这条道路为城市x和城市y之间的双向道路。


数据规模:

输入数据保证1号城市可以到达n号城市。

对于10%的数据,1≤n≤6。

对于30%的数据,1≤n≤100。

对于50%的数据,不存在一条旅游路线,可以从一个城市出发,再回到这个城市。

对于100%的数据,1≤n≤100000,1≤m≤500000,1≤x,y≤n,1≤z≤2,1≤各城市水晶球价格≤100。


输出

每组输出共1行,包含1个整数,表示最多能赚取的旅费。如果没有进行贸易,则输出0。


样例输入 复制

5 5
4 3 6 5 1
1 2 1
1 4 1
2 3 2
3 5 1
4 5 2

样例输出 复制

5