题目描述
【题目描述】
输入三角形的三条边a,b,c,输出三角形的面积。(a,b,c是正整数<100,满足三角形条件) 保留两位小数。
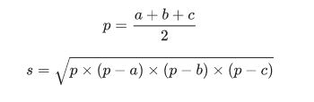
计算三角形面积用海伦公式。 海伦公式:P代表三角形周长的一半。S代表三角形面积。

【输入格式】
三个由空格隔开的整数,表示三角形的三条边。 数据保证三个整数肯定能组成三角形。
【输出格式】
一个实数,表示三角形的面积。
【输入样例】
28 23 31
【输出样例】
309.74
【数据范围与提示】
保证a,b,c是正整数<100,满足三角形条件。
样例输入 复制
样例输出 复制