问题7074--平方和数字函数

7074: 平方和数字函数

[命题人 : ]
时间限制 : 1.000 sec  内存限制 : 256 MiB

题目描述

【题目描述】

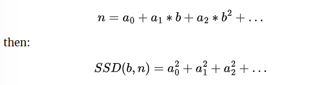
b为基数的正整数n的平方和数字函数SSD(bn)通过表示以b为底的n来定义,如下所示:


表示数字的平方和。

编写一个程序来计算输入正数的平方和数字函数。

【输入】

第一行输入一个十进制整数P(1P1000),表示有P组测试数据。每组数据都应以相同的方式独立处理。

每组数据由一行输入组成。它包含数据集编号K,后跟基数b3b16),作为十进制整数,后跟正整数n(作为十进制整数),将根据基数b计算平方和数字函数。n将适合32位无符号整数。数据集编号K1开始,每个数据集递增1

【输出】

对于每个数据集,都有一行输出。

单行输出由数据集编号K组成,后跟一个空格,后跟SSDbn)的值(十进制整数)。

【样本输入1

3

1 10 1234

2 3 98765

3 16 987654321

【样本输出1

1 30

2 19

3 696

【样例说明】

第一行,基数b10 n1234 所以SSD(10,1234)=1*1+2*2+3*3+4*4=30

第二行,基数b3n98765,将n转换为3进制为12000110222,所以SSD(3,98765)=1*1+2*2+0*0+0*0+0*0+1*1+1*1+0*0+2*2+2*2+2*2=19

第三行,基数b16n987654321,将n转换为16进制为3ADE68B1,所以SSD(3,98765)=3*3+10*10+13*13+14*14+6*6+8*8+11*11+1*1=696

 

来源/分类