问题7098--迭代幂次

7098: 迭代幂次

[命题人 : ]
时间限制 : 1.000 sec  内存限制 : 256 MiB

题目描述

【题目描述】

安东尼刚刚开始学习基础数学,真令人兴奋!他首先学会了加法


法运算


乘幂运算


最后,迭代幂次


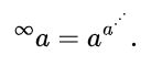
安东尼很快就对无限的四重奏感兴趣,即


安东尼想知道,给定任意实数N∞a=N?的解是什么?由于想不通,安东尼要求你写一个程序来帮助他!

这里有一个有趣的事实:一个解决方案只存在于1/e≤N≤e.

输入

第一行输入包含一个实数N0.36788≤N≤2.718281

输出

输出一个实数a,使∞a=N。如果绝对或相对误差不超过10-5,您的答案将被视为正确.

样本输入1】

2.000000

样本输出1】

1.414214

样本输入2】

1.000000

样本输出2】

1.000000

样本输入3】

1.500000

样本输出3】

1.310371

来源/分类