问题7146--正确答案

7146: 正确答案

[命题人 : ]
时间限制 : 1.000 sec  内存限制 : 256 MiB

题目描述

题目背景

某次测验后,信奥老师在黑板上留下了一串数字 23333 便飘然而去。凝望着这个神秘数字,小同学不禁陷入了沉思……

题目描述

已知某次测验包含 n 道单项选择题,其中第 i 题(1≤i≤n)有 ai 个选项,正确选项为 bi,满足 ai≥2 0≤bi<ai。比如说,ai=4 表示第 i 题有 4 个选项,此时正确选项 bi 的取值一定是 0123 其中之一。

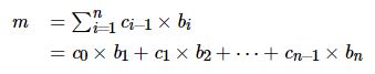
信奥老师设计了如下方式对正确答案进行编码,使得仅用一个整数 m 便可表示 b1,b2,⋯,bn

首先定义一个辅助数组 ci,表示数组 ai 的前缀乘积。当 1≤i≤n 时,满足:ci=a1×a2×...×ai     

特别地,定义c0=1

于是 m 便可按照如下公式算出:


易知,0≤m<cn,最小值和最大值分别当 bi 全部为 0 bi=ai−1 时取得。

试帮助小同学,把测验的正确答案 b1,b2,⋯,bn 从老师留下的神秘整数 m 中恢复出来。

输入格式

输入共两行。

第一行包含用空格分隔的两个整数 n m,分别表示题目数量和老师的神秘数字。

第二行包含用空格分隔的 n 个整数 a1,a2,⋯,an,依次表示每道选择题的选项数目。

输出格式

输出仅一行,包含用空格分隔的 n 个整数 b1,b2,⋯,bn,依次表示每道选择题的正确选项。

样例1输入

15 32767

2 2 2 2 2 2 2 2 2 2 2 2 2 2 2

样例1输出

1 1 1 1 1 1 1 1 1 1 1 1 1 1 1

样例2输入

4 0

2 3 2 5

样例2输出

0 0 0 0

样例3输入

7 23333

3 5 20 10 4 3 10

样例3输出

2 2 15 7 3 1 0

样例3解释

i 1 2 3 4 5 6 7

ai 3 5 20 10 4 3 10

bi 2 2 15 7 3 1 0

ci−1 1 3 15 300 3000 12000 36000

子任务

50% 的测试数据满足:ai 全部等于 2,即每道题均只有两个选项,此时 ci=2i

全部的测试数据满足:1≤n≤20ai≥2 cn≤109(根据题目描述中的定义 cn 表示全部 ai 的乘积)。

提示

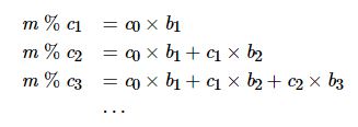
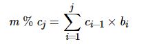
对任意的 1≤j≤n,因为 cj+1,cj+2,⋯ 均为 cj 的倍数,所以 m 除以 cj 的余数具有如下性质:


其中 % 表示取余运算。令 j 取不同的值,则有如下等式:


样例输入 复制

7 23333
3 5 20 10 4 3 10

样例输出 复制

2 2 15 7 3 1 0

来源/分类