问题7147--方差与平均

7147: 方差与平均

[命题人 : ]
时间限制 : 1.000 sec  内存限制 : 256 MiB

题目描述

【题目背景】

在机器学习中,对数据进行归一化处理是一种常用的技术。将数据从各种各样分布调整为平均值为0、方差为1的标准分布,在很多情况下都可以有效地加速模型的训练。

【问题描述】

这里假定需要处理的数据为n个整数 a1,a2,...,an

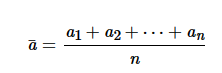
这组数据的平均值:


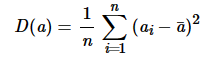
方差:


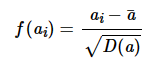
使用如下函数处理所有数据,得到的n个浮点数f(a1),f(a2),...,f(an)即满足平均值为0且方差为1


【输入格式】

第一行包含一个整数 n,表示待处理的整数个数。

第二行包含空格分隔的 n 个整数,依次表示a1,a2,...,an

【输出格式】

输出共 n 行,每行一个浮点数,依次表示按上述方法归一化处理后的数据。

【样例输入】

7

-4 293 0 -22 12 654 1000

【样例输出】

-0.7485510379073613

0.0450428467481226

-0.7378629047806881

-0.7966476369773906

-0.7057985054006686

1.0096468614303775

1.9341703768876082

【样例解释】

平均值:

方差:

标准差:

【子任务】

全部的测试数据保证 n,|ai|1000,其中 |ai| 表示 ai 的绝对值。

且输入的 n 个整数 a1,a2,...,an 满足:方差 D(a)1

 

样例输入 复制

7
-4 293 0 -22 12 654 1000

样例输出 复制

-0.7485510379073613
0.0450428467481226
-0.7378629047806881
-0.7966476369773906
-0.7057985054006686
1.0096468614303775
1.9341703768876082

来源/分类